Veľký Lipník – 22.036 m2 ORNÁ PÔDA a LESY – Na Predaj
- [12.11. 2025]Zmazať/ Upraviť/ Topovať










Spoločnosť Slovak Estate s.r.o. ponúka na predaj spoluvlastnícke podiely na ornej pôde a lesných pozemkoch v katastrálnom území Veľký Lipník, okres Stará Ľubovňa.
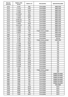
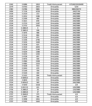
- Výmera predávaných spoluvlastníckych podielov tvorí celkom 22.036,69 m2. Pozemky sú evidované na listoch vlastníctva č. 1573, 1666, 1667, 1678, 1720, 1726, 1773, 1802, 1805, 1918, 1962, 1996, 2035, 2126, 2262, 2265, 2266, 2286, 2342, 2379, 2382, 2404, 2534, 2620, 2735, 2736, 2737 pre katastrálne územie Veľký Lipník, okres Stará Ľubovňa, pričom na listoch vlastníctva sú vedené ako Orná pôda, Trvalý trávny porast a Lesný pozemok.
- Pozemky sú vhodné pre poľnohospodárov, lesných hospodárov a do prebiehajúceho projektu komasácií (sceľovania pozemkov).
- KOMASÁCIE: Sceľovanie pozemkov je projekt prebiehajúci po celom území SR, ktorého úlohou je "sceliť" veľmi rozdrobenú a nevyporiadanú pôdu v extraviláne (nezastavanom území - lesy, lúky, pôda...) na Slovensku. Po scelení sa spočíta každému majiteľovi pozemkov jeho celková výmera v danom katastrálnom území a svoju pôdu dostane na jednom (alebo viacerých) pozemkoch v 100% podiele 1/1, kde bude výlučným vlastníkom celého pozemku a bude s ním môcť nakladať podľa vlastného uváženia. Územia sa sceľujú na základe viacerých faktorov postupne. Kúpa spoluvlastníckych podielov na pôde je teda vhodnou investičnou voľbou, nakoľko aj pôda rastie na hodnote medziročne takmer neustále, rovnako ako iné typy nehnuteľností.
- Mapu s vyznačenými parcelami možno nájsť v galérii inzerátu, medzi fotografiami.
- V cene je zahrnutý kompletný právny servis vrátane prípravy kúpnych zmlúv, vklad do katastra nehnuteľností a správne poplatky.
*** PODOBNÉ PONUKY NÁJDETE NA NAŠOM WEBE: www.slovakestate.com ***
- Výmera predávaných spoluvlastníckych podielov tvorí celkom 22.036,69 m2. Pozemky sú evidované na listoch vlastníctva č. 1573, 1666, 1667, 1678, 1720, 1726, 1773, 1802, 1805, 1918, 1962, 1996, 2035, 2126, 2262, 2265, 2266, 2286, 2342, 2379, 2382, 2404, 2534, 2620, 2735, 2736, 2737 pre katastrálne územie Veľký Lipník, okres Stará Ľubovňa, pričom na listoch vlastníctva sú vedené ako Orná pôda, Trvalý trávny porast a Lesný pozemok.
- Pozemky sú vhodné pre poľnohospodárov, lesných hospodárov a do prebiehajúceho projektu komasácií (sceľovania pozemkov).
- KOMASÁCIE: Sceľovanie pozemkov je projekt prebiehajúci po celom území SR, ktorého úlohou je "sceliť" veľmi rozdrobenú a nevyporiadanú pôdu v extraviláne (nezastavanom území - lesy, lúky, pôda...) na Slovensku. Po scelení sa spočíta každému majiteľovi pozemkov jeho celková výmera v danom katastrálnom území a svoju pôdu dostane na jednom (alebo viacerých) pozemkoch v 100% podiele 1/1, kde bude výlučným vlastníkom celého pozemku a bude s ním môcť nakladať podľa vlastného uváženia. Územia sa sceľujú na základe viacerých faktorov postupne. Kúpa spoluvlastníckych podielov na pôde je teda vhodnou investičnou voľbou, nakoľko aj pôda rastie na hodnote medziročne takmer neustále, rovnako ako iné typy nehnuteľností.
- Mapu s vyznačenými parcelami možno nájsť v galérii inzerátu, medzi fotografiami.
- V cene je zahrnutý kompletný právny servis vrátane prípravy kúpnych zmlúv, vklad do katastra nehnuteľností a správne poplatky.
*** PODOBNÉ PONUKY NÁJDETE NA NAŠOM WEBE: www.slovakestate.com ***
|
| |||||||||||||||||||||||||||||||
Kontaktovať inzerenta e-mailom
Kontaktovať e-mailom môže iba overený užívateľ.
Overenie je zadarmo.
Vaše telefónne číslo *
Kontaktovať e-mailom môže iba overený užívateľ.
Overenie je zadarmo.
Vaše telefónne číslo *